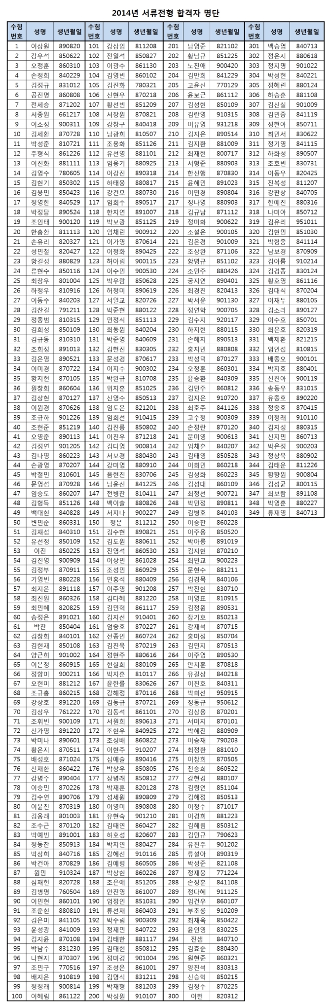
(2014년도 신입직원 채용) 서류전형 합격자 발표 페이지 정보 작성자 최고관리자 댓글 0건 조회 4,835회 작성일 13-12-27 17:16 본문 첨부파일 2014년도 서류전형 합격자 명단.xlsx (21.9K) 212회 다운로드 | DATE : 2018-08-13 17:16:27 목록 이전글(2014년도 신입직원 채용) 필기시험 공고 13.12.30 다음글준비된 창업자를 위한 창업교육 실시 13.12.10